Ask questions which are clear, concise and easy to understand.
Ask QuestionPosted by Angie Alex 6 years, 11 months ago
- 0 answers
Posted by Kiran Rathore 6 years, 11 months ago
- 2 answers
Ayushi Ayushi 6 years, 11 months ago
Posted by Anish Hazarika 6 years, 11 months ago
- 1 answers
Nishu Godara 6 years, 11 months ago
Posted by Lakshya Lochan 6 years, 11 months ago
- 1 answers
Yogita Ingle 6 years, 11 months ago
DOPING CONTROL PROCEDURE: Dope test is done on athletes by World Anti Doping Agency (WADA). This agency checks and controls doping in sports. It provides technical and financial help for testing. In India, the controlling body under the WADA is named as National Anti Doping Agency (NADA).
Posted by Sakshi Kumari 6 years, 11 months ago
- 0 answers
Posted by Gaurav Rawat 6 years, 11 months ago
- 1 answers
Aman Kumar 6 years, 11 months ago
Posted by Janhavi Baranwal 6 years, 11 months ago
- 1 answers
Posted by Arpit Raj 6 years, 11 months ago
- 0 answers
Posted by Rakesh Kumar 6 years, 11 months ago
- 0 answers
Posted by Preet Dhillion 6 years, 11 months ago
- 1 answers
Aman Kumar 6 years, 11 months ago
Posted by Gauransh Baranwal 6 years, 11 months ago
- 1 answers
Gaurav Seth 6 years, 11 months ago
The lingual tonsils are two small mounds of lymphatic tissue located at the back of the base of the tongue, one on either side. They are composed of lymphatic tissue that functions to assist the immune system in the production of antibodies in response to invading pathogenic bacteria or viruses.
Posted by Prashant Singh 6 years, 11 months ago
- 1 answers
Gaurav Seth 6 years, 11 months ago
Share is the smallest unit in which owner’s capital of the company is divided. A share may also be defined as a unit of measure of a shareholder’s interest in the company.
According to Companies Act, a public company can issue two types of shares.
(i) Equity shares
(ii) Preference shares
Equity Shares Equity shares is a common security issued under permanent or owner’s fund capital. Equity shares are the most important source of raising long term capital.
In Companies Act permitting companies to issue two categories of equity shares.
(i) Equity shares with equal rights.
(ii) Equity shares with differential rights as to divided.
Preference Shares Preference shares are those shares which get preference over equity shares in respect to
(i) The payment of dividend.
(ii) The repayment of investment amount during winding up.
Different features of preferences shares are
(i) Fixed rate of dividend
(ii) No security
(iii) Voting rights
(iv) Hybrid security
Posted by Himanshu Shekhar 6 years, 11 months ago
- 2 answers
Gaurav Seth 6 years, 11 months ago
| <div style="border:0px; margin:0px; padding:0in 5.4pt">S.no</div> | <div align="center" style="border:0px; margin:0px; padding:0in 5.4pt; text-align:center">Stress</div> | <div align="center" style="border:0px; margin:0px; padding:0in 5.4pt; text-align:center">Strain</div> |
| <div style="border:0px; margin:0px; padding:0in 5.4pt; text-align:center">1.</div> | <div style="border:0px; margin:0px; padding:0in 5.4pt">Stress is defined as the resisting force per unit area.</div> | <div style="border:0px; margin:0px; padding:0in 5.4pt">Strain is defined as the deformation per unit area.</div> |
| <div style="border:0px; margin:0px; padding:0in 5.4pt; text-align:center">2.</div> |
<div style="border:0px; margin:0px; padding:0in 5.4pt">The ratio of resisting force ( or applied load) to the cross section area of the body is called stress.</div> |
<div style="border:0px; margin:0px; padding:0in 5.4pt">The ratio of change in dimension of the body to the original dimension is called strain.</div> |
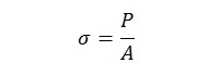
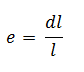
| <div style="border:0px; margin:0px; padding:0in 5.4pt; text-align:center">3.</div> | <div style="border:0px; margin:0px; padding:0in 5.4pt">Stress is denoted by the Greek symbol ‘σ’ ( sigma).</div> | <div style="border:0px; margin:0px; padding:0in 5.4pt">Strain is denoted by the symbol ‘e’.</div> |
| <div style="border:0px; margin:0px; padding:0in 5.4pt; text-align:center">4.</div> |
<div style="border:0px; margin:0px; padding:0in 5.4pt">The formula of stress is given by</div>
<div style="border:0px; margin:0px; padding:0in 5.4pt"> </div>
<div style="border:0px; margin:0px; padding:0in 5.4pt"> </div>
|
<div style="border:0px; margin:0px; padding:0in 5.4pt">The formula of strain is given by</div>
<div style="border:0px; margin:0px; padding:0in 5.4pt"> </div>
<div class="separator" style="border:0px; margin:0px; padding:0in 5.4pt; text-align:center"> </div>
<div style="border:0px; margin:0px; padding:0in 5.4pt"> </div>
|
| <div style="border:0px; margin:0px; padding:0in 5.4pt; text-align:center">5.</div> | <div style="border:0px; margin:0px; padding:0in 5.4pt">The unit<a href="http://www.mechanicalbooster.com/2016/09/units-of-stress.html" style="border:0px; font-variant:inherit; font-stretch:inherit; line-height:inherit; font-family:inherit; font-style:inherit; font-weight:inherit; margin:0px; outline:0px; padding:0px; vertical-align:baseline; color:#289dcc; text-decoration-line:none" target="_blank"> </a>of<a href="http://www.mechanicalbooster.com/2016/09/units-of-stress.html" style="border:0px; font-variant:inherit; font-stretch:inherit; line-height:inherit; font-family:inherit; font-style:inherit; font-weight:inherit; margin:0px; outline:0px; padding:0px; vertical-align:baseline; color:#289dcc; text-decoration-line:none" target="_blank"> </a>stress is N/m2 or N/mm2.</div> | <div style="border:0px; margin:0px; padding:0in 5.4pt">Strain is a unitless quantity.</div> |
| <div style="border:0px; margin:0px; padding:0in 5.4pt; text-align:center">6.</div> | <div style="border:0px; margin:0px; padding:0in 5.4pt">Stress can exist without strain.</div> | <div style="border:0px; margin:0px; padding:0in 5.4pt">Strain cannot exist without stress.</div> |
| <div style="border:0px; margin:0px; padding:0in 5.4pt; text-align:center">7.</div> | <div style="border:0px; margin:0px; padding:0in 5.4pt">The various types of stress are: tensile stress, compressive stress and shear stress.</div> | <div style="border:0px; margin:0px; padding:0in 5.4pt">The various types of strain are: tensile strain, compressive strain, shear strain and volumetric strain.</div> |
Yogita Ingle 6 years, 11 months ago
1.Stress is defined as a force that can cause a change in an object or a physical body while strain is the change in the form or shape of the object or physical body on which stress is applied.
2.Stress can occur without strain, but strain cannot occur with the absence of stress.
3.Stress can be measured and has a unit of measure while strain does not have any unit and, therefore, cannot be measured.
4.Strain is an object’s response to stress while stress is the force that can cause strain in an object.
5.Stress comes from the Latin word “strictus” which means “to draw tight” while “strain” comes from the Latin word “stringere” which means “to bind tightly.”
Posted by Muskan Garg 6 years, 11 months ago
- 0 answers
Posted by Ramesh Verma 6 years, 11 months ago
- 1 answers
Yogita Ingle 6 years, 11 months ago
Like Li and Be, boron – the first member of group 13 – also shows anomalous behavior due to its low size and high nuclear charge/size ratio, high electronegativity and non – availability of d electrons. The main point of differences is:-
1. Boron is a typical non-metal whereas other members are metals.
2. Boron is a bad conductor of electricity whereas others are good conductors.
3. Boron shows allotropy and exists in two forms—crystalline and amorphous. Aluminum is a soft metal and does not exist in different forms.
4. Like other non metals, the melting point and boiling point of boron are much highr than those of others elements of group 13.
5. Boron forms only covalent compounds whereas aluminum and other elements of group 13 also do form some ionic compounds.
6. Hydroxides and oxides of boron are acidic in nature whereas those of others are amphoteric and basic.
7. The trihalides of boron exist as monomers. On the other hand, aluminium halides exist as dimmers.
8. The hydrides of boron i.e. boranes are quite stable while those of alumimium are unstable.
9. Dilute acids have no action on boron. Other members of group 13 liberate h2 from dilute acids.
10. Borates are more stable than aluminates.
11. Boron exhibit maximum covalency of four e.g., BH4- ion while other members exhibit a maximum covalency of six e.g.
12. Boron does not decompose steam while other members do so.
Posted by Ahsjsh Dbdnsj 6 years, 11 months ago
- 1 answers
Posted by Suhaib Ahmed 6 years, 11 months ago
- 1 answers
Posted by Khushi Agarwal 6 years, 11 months ago
- 1 answers
Priya Dharshini ? 6 years, 11 months ago
Posted by Sanskriti Thakuria 6 years, 11 months ago
- 0 answers
Posted by Kanika Rastogi 6 years, 11 months ago
- 1 answers
Sex Boy ????? 6 years, 11 months ago
Posted by Abbas Zaidi 6 years, 11 months ago
- 1 answers
Rahul Yadav 6 years, 11 months ago
Posted by Jatin Nayak 6 years, 11 months ago
- 0 answers
Posted by Yakshi ? 6 years, 11 months ago
- 4 answers
Vikash Kumar 6 years, 11 months ago
Posted by Wajeed Patel 6 years, 11 months ago
- 5 answers
Lily ☺ 6 years, 11 months ago
Lily ☺ 6 years, 11 months ago
Sakshi Singh 6 years, 11 months ago
Posted by Mohit Jaiswal 6 years, 11 months ago
- 1 answers
Posted by Ankit Kumar 6 years, 11 months ago
- 0 answers
Posted by Ankit Kumar 6 years, 11 months ago
- 0 answers
Posted by Ankit Singh 6 years, 11 months ago
- 5 answers
Priya Dharshini ? 6 years, 11 months ago
Posted by Anand Raj 6 years, 11 months ago
- 0 answers

myCBSEguide
Trusted by 1 Crore+ Students

Test Generator
Create papers online. It's FREE.

CUET Mock Tests
75,000+ questions to practice only on myCBSEguide app
myCBSEguide
