Ask questions which are clear, concise and easy to understand.
Ask QuestionPosted by Radheshyam Singh 6 years, 8 months ago
- 0 answers
Posted by Viji Haridas 6 years, 8 months ago
- 2 answers
Posted by Chingsharon Chingsharon 6 years, 8 months ago
- 1 answers
Posted by Arya Javlekar 6 years, 8 months ago
- 2 answers
Saptarshi Ghosh 6 years, 8 months ago
Posted by Aditya Kumar 6 years, 7 months ago
- 1 answers
Sia ? 6 years, 7 months ago
Check the syllabus here : <a href="https://mycbseguide.com/cbse-syllabus.html">https://mycbseguide.com/cbse-syllabus.html</a>
Posted by Hitman Lover... ??❤️❤️?? 6 years, 8 months ago
- 5 answers
Posted by Ishika Goel 6 years, 7 months ago
- 1 answers
Sia ? 6 years, 7 months ago
Let the speed of X and Y be x km/hr and y km/hr respectively.
We know that the time taken to cover 'd' km with speed 's' km/hr is {tex}\frac ds{/tex} hr.
Now, using above formula for time
Time taken by X to cover 30 km {tex}= \frac { 30 } { x } \mathrm { hrs }{/tex}
and, Time taken by Y to cover 30 km {tex}= \frac { 30 } { y } \mathrm { hrs }{/tex}
By the given condition in 1st half of problem, we have
{tex}\frac { 30 } { x } - \frac { 30 } { y } = 3 \Rightarrow \frac { 10 } { x } - \frac { 10 } { y } = 1{/tex} ................................(i)
If X doubles his pace, then speed of X becomes 2x km/hr
{tex}{/tex}Time taken by X to cover 30 km {tex}= \frac { 30 } { 2 x } \mathrm { hrs }{/tex}
&, Time taken by Y to cover 30 km {tex}= \frac { 30 } { y } \mathrm { hrs }{/tex} (speed of Y remains constant)
According to the given condition in 2nd half of problem, we have
{tex}\frac { 30 } { y } - \frac { 30 } { 2 x } = 1 \frac { 1 } { 2 }{/tex}
{tex}\Rightarrow \quad \frac { 30 } { y } - \frac { 30 } { 2 x } = \frac { 3 } { 2 }{/tex}
{tex}\Rightarrow \quad \frac { 10 } { y } - \frac { 5 } { x } = \frac { 1 } { 2 }{/tex}
{tex}\Rightarrow \quad - \frac { 10 } { x } + \frac { 20 } { y } = 1{/tex}.................................(ii)
Putting {tex}\frac { 1 } { x } = u{/tex} and {tex}\frac { 1 } { y } = v,{/tex}in equations (i) and (ii) we get
10{tex}u{/tex} -10{tex}v{/tex} =1 {tex}\Rightarrow{/tex}10{tex}u{/tex}- 10{tex}v{/tex}-1=0 ........(iii)
-10{tex}u{/tex}+ 20{tex}v{/tex} = 1 {tex}\Rightarrow{/tex} -10{tex}u{/tex} + 20{tex}v{/tex} -1=0 ........(iv)
Adding equations (iii) and (iv), we get
{tex}10 v - 2 = 0 \Rightarrow v = \frac { 1 } { 5 }{/tex}
Putting {tex}v = \frac { 1 } { 5 }{/tex} in equation (iii), we get
{tex}10 u - 3 = 0 \Rightarrow u = \frac { 3 } { 10 }{/tex}
Now, {tex}u = \frac { 3 } { 10 } \Rightarrow \frac { 1 } { x } = \frac { 3 } { 10 } \Rightarrow x = \frac { 10 } { 3 }{/tex}and {tex}v = \frac { 1 } { 5 } \Rightarrow \frac { 1 } { y } = \frac { 1 } { 5 } \Rightarrow y = 5{/tex}
Hence, X's speed {tex}= \frac { 10 } { 3 } \mathrm { km } / \mathrm { hr }{/tex} and, Y's speed =5km/hr.
Posted by Nehang Limdi 6 years, 7 months ago
- 1 answers
Sia ? 6 years, 7 months ago
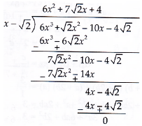
Assume f(x) = {tex}6{x^3} + \sqrt 2 {x^2} - 10x - 4\sqrt 2{/tex}
If {tex}\sqrt 2{/tex} is the zero of f(x), then {tex}(x - \sqrt 2 ){/tex} will be a factor of f(x). So, by remainder theorem when f(x) is divided by {tex}(x - \sqrt 2 ){/tex}, the quotient comes out to be quadratic.
Now we divide {tex}6{x^3} + \sqrt 2 {x^2} - 10x - 4\sqrt 2{/tex} by {tex}(x - \sqrt 2 ){/tex}.

{tex}\therefore \;f(x) = (x - \sqrt 2 )(6{x^2} + 7\sqrt 2 x + 4){/tex} (By Euclid’s division algorithm)
{tex}= (x - \sqrt 2 )(6{x^2} + 4\sqrt 2 x + 3\sqrt 2 x + 4){/tex} ( By factorization method )
For zeroes of f(x), put f(x) = 0
{tex}\therefore (x - \sqrt 2 )(6{x^2} + 4\sqrt 2 x + 3\sqrt 2 x + 4) = 0{/tex}
{tex}\Rightarrow \;(x - \sqrt 2 )[2x(3x + 2\sqrt 2 ){/tex} {tex}+ \sqrt 2 (3x + 2\sqrt 2 )] = 0{/tex}
{tex}\Rightarrow (x - \sqrt 2 )(3x + 2\sqrt 2 )(2x + \sqrt 2 ) = 0{/tex}
{tex}\Rightarrow x - \sqrt 2 = 0{/tex} or {tex}3x + 2\sqrt 2 = 0{/tex} or {tex}2x + \sqrt 2 = 0{/tex}
{tex}\Rightarrow x = \sqrt 2{/tex} or {tex}x = \frac{{ - 2\sqrt 2 }}{3}{/tex} or {tex}x = \frac { - \sqrt { 2 } } { 2 }{/tex}
So, other two roots are {tex}= \frac{{ - 2\sqrt 2 }}{3}{/tex} and {tex}\frac{{ - \sqrt 2 }}{2}{/tex}.
Posted by Aamir Modal 6 years, 8 months ago
- 1 answers
Yogita Ingle 6 years, 8 months ago
Sin60° + cos30°
(√3/2) + (√3/2)
= ( (√3+ √3)/ 2
= 2√3/2
= √3
Posted by Krishna Mittal 6 years, 8 months ago
- 0 answers
Posted by Rk Singh 6 years, 8 months ago
- 0 answers
Posted by Pradeep Singh 6 years, 8 months ago
- 1 answers
Gaurav Seth 6 years, 8 months ago
Given integers,
595 and 252
Applying Euclid division algorithm to 595 and 252 we get,
595=252×2+91.........................................1
Now applying ,Euclid division algorithm to 252 and 91 we get,
252=91×2+70.....….………...........................2
Now applying Euclid division algorithm to 91 and 70,we get
91=70×1+21…...............................................3
Now applying Euclid division algorithm to 70 and 21 we get,
70=21×3+7...................................................4
Now applying Euclid division algorithm to 21 and 7 we get,
21=7×3+0......................................................5
The remainder at this stage is zero.
Hence HCF of 595 and 252 is 7.
eq1,eq2,eq3, and eq4 can be written as,
595-(252×2)=91..........................................6
252-(91×2)=70.............................................7
91-(70×1)=21...................................................8
70-(21×3)=7.....................................................9
Now eq9 we have,
(as we express HCF in the form of a equation that is the reason we start from eq9)
7=70-(21×3)
By putting eq8 in above equation we have,
7=70-(91-70×1)3
7=70-91×3+70×3
7=70×4-91×3
By putting eq7 in above equation we have,
7=(252-91×2)4-91×3
7=252×4-91×8-91×3
7=252×4-91×11
By putting eq6 in above equation we have,
7=252×4-(595-252×2)11
7=252×4-595×11+252×22
7=252×26-595×11
7=595(-11)+252(26)
7=595m+252n, where m=-11 and n=26.
Hence HCF of 595 and 252 is in the form of 595m+252n,where m=-11 and n=26.
Posted by Account Deleted 6 years, 8 months ago
- 0 answers
Posted by Jagpal Yadav 6 years, 8 months ago
- 1 answers
Posted by Nehal Goswami 6 years, 7 months ago
- 1 answers
Sia ? 6 years, 7 months ago
Since the circular ends of the diameter are 28 cm and 42 cm, the radii of are 14 cm and 21 cm respectively.
Capacity of the bucket {tex}= \frac { 1 } { 3 } \pi h\left( \mathrm { R } ^ { 2 } + \mathrm { r } ^ { 2 } + \mathrm { Rr } \right){/tex}
{tex}= \frac { 1 } { 3 } \times \frac { 22 } { 7 } \times 24 \left[ 14 ^ { 2 } + 21 ^ { 2 } + 14 \times 21 \right]{/tex}
{tex}= \frac { 22 } { 7 } \times 8 [ 196 + 441 + 294 ]{/tex}
{tex}= \frac { 22 } { 7 } \times 8 \times [ 196 + 441 + 294 ]{/tex}
= 23408 cm3
= 23.408 l ...(Since 1000 cm3 = 1 l)
Cost of milk at the rate of Rs.30 per litre
= 23.408{tex}\times{/tex}30
= Rs. 702.24
Posted by Divyanshu Joshi 6 years, 8 months ago
- 1 answers
Posted by Guru Prasad 6 years, 8 months ago
- 1 answers
Posted by Divyanshu Joshi 6 years, 7 months ago
- 1 answers
Sia ? 6 years, 7 months ago
Any integer can be written in the form 5m , 5m+1, 5m+2 (where m is any integer)
(5m)² = 25m² = 5 × 5m² = 5q (where q = 5m²)
(5m+1)² = (5m)² + 2 ×5m × 1 + 1² [by using identity- (a+b)²= (a²+ 2ab +b² )]
= 25m² + 10 m + 1
= 5 (5m²+ 2m) +1
= 5q +1 ( where q= 5m²+2m)
(5m+2)²= (5m)² + 2× 5m × 2 +2² [by using identity- (a+b)²= (a²+ 2ab +b² )]
= 25m² + 20 m +4
= 5 (5m²+4m ) + 4
= 5q+4 (where q= 5m²+4m)
Hence proved
Posted by Bhasker Tiwari 6 years, 8 months ago
- 1 answers
Posted by Ankit Kumar 6 years, 8 months ago
- 0 answers
Posted by Nayana Reddy 6 years, 8 months ago
- 0 answers
Posted by Bhagaban Dora 6 years, 4 months ago
- 1 answers
Sia ? 6 years, 4 months ago
If a and b are odd numbers then it should be in 2q+1 or 2q+3 form where q is a positive integer.
Let a = 2q + 3 , b = 2q + 1 and a > b
Now, {tex}\frac{a + b } {2} = \frac{ 2q + 3 + 2q + 1}{2}{/tex}
{tex}= \frac { 4 q + 4 } { 2 }{/tex}
= 2q + 2
{tex}\frac{a+b}{2}{/tex}=2(q+1) = an even number..........(1)
Now
{tex}\frac { a - b } { 2 } = \frac { ( 2 q + 3 ) - ( 2 q + 1 ) } { 2 }{/tex}
{tex}= \frac { 2 q + 3 - 2 q - 1 } { 2 }{/tex}
{tex}\frac{a-b}{2}= \frac { 2 } { 2 }{/tex} = 1 = an odd number..........(2)
Hence From (1) and (2) {tex}\frac{a+b}{2}{/tex} and {tex}\frac{a-b}{2}{/tex} are even and odd numbers respectively
Posted by Anuradha Panda 6 years, 8 months ago
- 1 answers
Yogita Ingle 6 years, 8 months ago
Cramer's Rule is a method that uses determinants for solving systems of linear equations. To explain the method and how these determinants are generated, this lecture will first illustrate the solution to a system of linear equations by the addition/elimination method without simplifying the indicated products and sums of the coefficients. The intent is to demonstrate that these products and sums can be represented by determinants.
Posted by Aman Jethuri 6 years, 8 months ago
- 2 answers
Yogita Ingle 6 years, 8 months ago
A polynomial is a mathematical expression that consists of variables and constants combined using addition, subtraction and multiplication. Variables may have non-negative integer exponents. Although division by a constant is allowed, division by a variable is not allowed.
The degree of a polynomial is the exponent of the highest degree term.
- A polynomial of degree 0 is called a constant polynomial.
- A polynomial of degree 1 is called a linear polynomial.
- A polynomial of degree 2 is called a quadratic polynomial.
- A polynomial of degree 3 is called a cubic polynomial.
Amira ❤? 6 years, 8 months ago
Posted by Shivam Gupta 6 years, 8 months ago
- 0 answers
Posted by Jiya Kumari 6 years, 8 months ago
- 0 answers
Posted by ? Student 6 years, 8 months ago
- 2 answers
Ramesh Kumar 6 years, 8 months ago
Divyaman Pal 6 years, 8 months ago
Posted by ? Student 6 years, 8 months ago
- 1 answers

myCBSEguide
Trusted by 1 Crore+ Students

Test Generator
Create papers online. It's FREE.

CUET Mock Tests
75,000+ questions to practice only on myCBSEguide app
myCBSEguide