Ask questions which are clear, concise and easy to understand.
Ask QuestionPosted by Raghbendra Jha 6 years, 7 months ago
- 1 answers
Posted by Faiza Khan 6 years, 6 months ago
- 1 answers
Sia ? 6 years, 6 months ago
{tex}3x - 2y + 3 = 0{/tex}........(i)
{tex}4x + 3y - 47 = 0{/tex}......(ii)
By cross multiplication, we have
{tex}\therefore \frac { x } { [ ( - 2 ) \times ( - 47 ) - ( 3 \times 3 ) ] }{/tex}{tex}= \frac { y } { [ ( 3 \times 4 ) - ( - 47 ) \times 3 ] }{/tex}{tex}= \frac { 1 } { [ 3 \times 3 - ( - 2 ) \times 4 ] }{/tex}
{tex}\Rightarrow \quad \frac { x } { ( 94 - 9 ) } = \frac { y } { ( 12 + 141 ) } = \frac { 1 } { ( 9 + 8 ) }{/tex}
{tex}\Rightarrow \quad \frac { x } { 85 } = \frac { 1 } { 17 } , \frac { y } { 153 } = \frac { 1 } { 17 }{/tex}
{tex}17x = 85, \ 17y = 153{/tex}
{tex}\Rightarrow \quad x = \frac { 85 } { 17 } , y = \frac { 153 } { 17 }{/tex}
Therefore, the solution is {tex}x = 5,\ y = 9{/tex}
Posted by Sonam Singh 6 years, 7 months ago
- 1 answers
Posted by Pratham Verma 6 years, 7 months ago
- 0 answers
Posted by G Sri Krishna 6 years, 7 months ago
- 4 answers
Saraswati Sabat 6 years, 7 months ago
Sonam Singh 6 years, 7 months ago
Sonam Singh 6 years, 7 months ago
Posted by Geeta Bulani 6 years, 7 months ago
- 1 answers
Sia ? 6 years, 7 months ago
Through the centre draw the y- axis and the x-axis.
Mark the coordinates of the points where the axes intersect the circle.
Starting on the x-axis at 0 degrees ,The coordinates are (1,0).
Move anticlockwise along the circle to the point (0,1) which corresponds to 90 degrees.
Continue to the point (-1,0) which is 180 degrees.
Again move to the point (0,-1) which is 270 degrees.
And finally back to (1,0) which is 360 degrees.
For 0 degrees, the x-co-ordinate represents the cosine of 0,and is equal to 1. And the y -co-ordinate which is zero is the sine of 0.
Posted by Sai Krithika 6 years, 7 months ago
- 2 answers
Satyam Yadav 6 years, 7 months ago
Posted by Mahi Rai 6 years, 7 months ago
- 1 answers
Sia ? 6 years, 7 months ago
Let us assume that {tex}7 - \sqrt 5{/tex} is a rational number.
Then, there must exist positive co primes a and b such that
{tex}\begin{array}{l}7 - \sqrt 5=\frac{\mathrm a}{\mathrm b}\\\end{array}{/tex}
{tex}-\sqrt5=\frac{\mathrm a}{\mathrm b}-7{/tex}
{tex}\begin{array}{l}\sqrt5=7-\frac{\mathrm a}{\mathrm b}\\\end{array}{/tex}
{tex}\begin{array}{l}\sqrt 5=\frac{7\mathrm b-\mathrm a}{\mathrm a}\\\end{array}{/tex}
The right side {tex}\begin{array}{l}\frac{7\mathrm b-\mathrm a}{2\mathrm a}\\\end{array}{/tex} is a rational numbers so {tex}\sqrt5{/tex} is a rational number
This contradicts the fact that {tex}\sqrt 5{/tex} is an irrational number
Hence our assumption is incorrect and {tex}7 - \sqrt 5{/tex} is an irrational number.
Posted by Movie Hub 6 years, 7 months ago
- 2 answers
Sia ? 6 years, 7 months ago
The given pair of linear equations is
x + 2y - 5= 0 and 3x + ky + 5 = 0
Here, a1 = 1, b1 = 2,
a2 = 3, b2 = k
For having a unique solution, we must have
{tex}\frac { a _ { 1 } } { a _ { 2 } } \neq \frac { b _ { 1 } } { b _ { 2 } }{/tex}
{tex}\Rightarrow \quad \frac { 1 } { 3 } \neq \frac { 2 } { k } \Rightarrow k \neq 6{/tex}
Akshya V 6 years, 7 months ago
Posted by Shravan Kumar 6 years, 7 months ago
- 0 answers
Posted by Shravan Kumar 6 years, 7 months ago
- 2 answers
Sia ? 6 years, 7 months ago
A group that tries to influence public policy in the interest of a particular cause
Posted by Mimansha Modi 6 years, 7 months ago
- 1 answers
Sia ? 6 years, 7 months ago
We have,
x2 + {tex}\frac{1}{x^2}{/tex} = 0
{tex} \Rightarrow{/tex} x4 - 1 = 0
{tex} \Rightarrow{/tex} x4 - 1 = 0
and (x4 - 1) is a polynomial of degree 4. It is also not in the form of {tex}ax^2+bx+c=0{/tex}
{tex}\therefore{/tex} Given equation is not a quadratic equation.
Posted by Harshita Panwar 6 years, 7 months ago
- 1 answers
Sia ? 6 years, 7 months ago
secA + tanA = p....................(1)
We know that,
sec²A - tan²A=1
or, (secA + tanA)(secA-tanA)=1
or, p(secA-tanA)=1
or, secA-tanA=1/p .............(2)
Adding (1) and (2) we get,
2secA=p+1/p
or, secA=(p²+1)/2p
∴, cosA=1/secA=2p/(p²+1)
∴, sinA=√(1-cos²A)
=√{1-4p²/(p²+1)²
=√{(p²+1)²-4p²}/(p²+1)²
=√(p⁴+2p²+1-4p²)/(p²+1)
=√(p²-1)²/(p²+1)
=(p²-1)/(p²+1) (Proved)
Posted by Sarthak Sahu 6 years, 7 months ago
- 2 answers
Posted by Rajiv Ranjan 6 years, 7 months ago
- 1 answers
Posted by Mallika Shetty 6 years, 7 months ago
- 1 answers
Sia ? 6 years, 7 months ago
cx + 3y + ( 3 - c ) = 0 and 12x + cy - c = 0
Condition for infintely many solutions,
{tex}\frac { a _ { 1 } } { a _ { 2 } } = \frac { b _ { 1 } } { b _ { 2 } } = \frac { c _ { 1 } } { c _ { 2 } }{/tex}
From given system of equation,
a1 = c, b1 = 3, c1 = 3 - c
and a2 = 12, b2 = c, c2 = -c
Putting these values in condition,we get
{tex}\frac { c } { 12 } = \frac { 3 } { c } = \frac { 3 - c } { - c }{/tex}
Considering first equality, i.e
{tex}\frac { c } { 12 } = \frac { 3 } { c }{/tex}
{tex}( c ) \times ( c ) = 3 \times 12{/tex}
c2 = 36
{tex}c = \pm \sqrt { 36 }{/tex}
c = ± 6
here c = -6 is rejected as it does not satisfy the 2nd equality.
Therefore, c = 6
Posted by Surya.. Jatt??? 6 years, 7 months ago
- 2 answers
Abhay Rajput 6 years, 7 months ago
Posted by Navinder Singh Navinder 6 years, 7 months ago
- 2 answers
Abhay Rajput 6 years, 7 months ago
Posted by Navinder Singh Navinder 6 years, 7 months ago
- 1 answers
Posted by Anmol Srivastava 6 years, 7 months ago
- 4 answers
Yogita Ingle 6 years, 7 months ago
4x2 - 4x - 3
= 4x2 - 6x + 2x - 3
= 2x ( 2x - 3) + 1 (2x - 3)
= (2x - 3) ( 2x + 1)
2x - 3 = 0 or 2x + 1 = 0
2x = 3 or 2x = -1
x = 3/2 or x = -1/2
Posted by Study With Nancy 6 years, 7 months ago
- 1 answers
Sia ? 6 years, 7 months ago
2x + 3y - 7 = 0
{tex}a _ { 1 } = 2 , b _ { 1 } = 3 , c _ { 1 } = - 7{/tex}
a(x + y) - b(x - y) = 3a + b - 2
ax +ay -b x + by = 3a + b - 2
(a - b)x + (a + b)y - (3a + b - 2) = 0
{tex}a _ { 2 } = a - b , b _ { 2 } = a + b , c _ { 2 } = - ( 3 a + b - 2 ){/tex}
for infinite many solutions
{tex}\frac { a _ { 1 } } { a _ { 2 } } = \frac { b _ { 1 } } { b _ { 2 } } = \frac { c _ { 1 } } { c _ { 2 } }{/tex}
or, {tex}\frac { 2 } { a - b } = \frac { 3 } { a + b } = \frac { - 7 } {- ( 3 a + b - 2 ) }{/tex}
{tex}\frac { 2 } { a - b } = \frac { 7 } { 3 a + b - 2 }{/tex}
2(3a + b -2 ) = 7(a-b)
6a + 2b - 4 = 7a - 7b
7a- 7b - 6a - 2b + 4 = 0
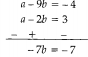
a - 9b = - 4 ....(i)
{tex}\frac { 3 } { a + b } = \frac { 7 } { 3 a + b - 2 }{/tex}
3(3a + b - 2) = 7(a + b )
9a + 3b - 6 = 7a + 7b
9a + 3b - 7a - 7b = 6
2a - 4 b = 6
a - 2 b = 3 .......(ii)
Subtracting eqn. (i) from (ii)

{tex} \Rightarrow {/tex} b = 1
On putting the value of b in eqn. (i),we get
a = 5
Hence, a = 5, b = 1.
Posted by Premal Kumar Rajput 6 years, 7 months ago
- 1 answers
Sia ? 6 years, 7 months ago
Check the papers here : <a href="https://mycbseguide.com/cbse-question-papers.html">https://mycbseguide.com/cbse-question-papers.html</a>
Posted by Sahil Jaichand 6 years, 7 months ago
- 1 answers
Posted by 1 2 6 years, 7 months ago
- 1 answers
Sia ? 6 years, 7 months ago
In order to calculate the time when they meet, we first find out the time taken by each cyclist in covering the distance.
Number of days cyclist 1 took to cover 360 km = 360/48 = 7.5 days
Similarly, number of days taken by cyclist 2 to cover same distance = 360/60 = 6 days
Also, number of days taken by cyclist 3 to cover this distance = 360/72 = 5 days
Here, LCM of 7.5, 6 and 5 = 30
So, after 30 days, all the three cyclists will meet at starting point..
Posted by Dhruv Solanki 6 years, 7 months ago
- 1 answers
Posted by Divyansh Dixit 6 years, 7 months ago
- 1 answers
Sia ? 6 years, 7 months ago
According to question,two pipes are used to fill a swimming pool.Pipe with larger diameter is used for 4 hours and pipe with smaller diameter is used for 9 hours.
Let x hours be the total time taken by the larger pipe to fill the tank
so in 1 hour it would fill {tex}\frac{1}{x}{/tex} part of the tank.
Similarly, y hours are needed for the smaller pipe,
then in 1 hour it would fill {tex}\frac{1}{y}{/tex} part.
So, y=10+x .........(1)
{tex}\frac{4}{x}{/tex} + {tex}\frac{9}{y}{/tex} = 1/2
using (1), {tex}\frac{4}{x}{/tex} + {tex}\frac{9}{10+x}{/tex} =1/2 ............(2)
solve (2), to get
x2 -16x - 80=0
(x-20)(x+4)=0
since value of x cannot be -ve
therefore x=20 and y=30
Larger diameter pipe fills in 20 hours, Smaller diameter pipe fills in 30 hours. Therefore it would take 20 hours and 30 hours respectively.
Posted by Divyansh Dixit 6 years, 7 months ago
- 1 answers
Sia ? 6 years, 7 months ago
According to question,two pipes are used to fill a swimming pool.Pipe with larger diameter is used for 4 hours and pipe with smaller diameter is used for 9 hours.
Let x hours be the total time taken by the larger pipe to fill the tank
so in 1 hour it would fill {tex}\frac{1}{x}{/tex} part of the tank.
Similarly, y hours are needed for the smaller pipe,
then in 1 hour it would fill {tex}\frac{1}{y}{/tex} part.
So, y=10+x .........(1)
{tex}\frac{4}{x}{/tex} + {tex}\frac{9}{y}{/tex} = 1/2
using (1), {tex}\frac{4}{x}{/tex} + {tex}\frac{9}{10+x}{/tex} =1/2 ............(2)
solve (2), to get
x2 -16x - 80=0
(x-20)(x+4)=0
since value of x cannot be -ve
therefore x=20 and y=30
Larger diameter pipe fills in 20 hours, Smaller diameter pipe fills in 30 hours. Therefore it would take 20 hours and 30 hours respectively.

myCBSEguide
Trusted by 1 Crore+ Students

Test Generator
Create papers online. It's FREE.

CUET Mock Tests
75,000+ questions to practice only on myCBSEguide app
myCBSEguide
Moksh Jalan 6 years, 7 months ago
0Thank You