If a remainder on division of …

CBSE, JEE, NEET, CUET
Question Bank, Mock Tests, Exam Papers
NCERT Solutions, Sample Papers, Notes, Videos
Related Questions
Posted by Vanshika Bhatnagar 1 year, 4 months ago
- 2 answers
Posted by Sahil Sahil 1 year, 4 months ago
- 2 answers
Posted by Kanika . 4 weeks ago
- 1 answers
Posted by Parinith Gowda Ms 3 months, 1 week ago
- 0 answers
Posted by Hari Anand 6 months ago
- 0 answers
Posted by Parinith Gowda Ms 3 months, 1 week ago
- 1 answers

myCBSEguide
Trusted by 1 Crore+ Students

Test Generator
Create papers online. It's FREE.

CUET Mock Tests
75,000+ questions to practice only on myCBSEguide app
myCBSEguide
Sia ? 6 years, 5 months ago
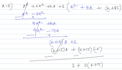
Given that f(x) = x3 + 2x2 + kx + 3

Let D ,Q and R are divisor,Quotient and remainder respectively
So f(x) = DQ + R
x3 + 2x2 + kx + 3 = (x - 3) Q + 21
Performing long division method,
Now, we know remainder = 21
{tex}\therefore{/tex} 3 + 3(k + 15) = 21
3(k + 15) = 18
k + 15 = 6
k = -9
Hence f(x) = x3 + 2x2 - 9x + 3
And Quotient = x2 + 5x + (k + 15) = x2 + 5x - 9 + 15 = x2 + 5x + 6
Now given g(x) = x3 + 2x2 + kx - 18
On substituting the value of k = -9, we get g(x) = x3 + 2x2 - 9x - 18
On factorising g(x), we get,
= x2 (x + 2) - 9 (x + 2)
= (x + 2)(x2 - 9)
= (x + 2) (x + 3) (x - 3)
Now, g(x) = 0 if x+2=0 or x+3=0 or x-3=0
Hence, the zeros of x3 + 2x2 - 9x - 18 are -2, -3 and 3.
0Thank You