Ask questions which are clear, concise and easy to understand.
Ask QuestionPosted by Manjinder Waheguru Singh 6 years, 8 months ago
- 0 answers
Posted by Hardik Singhaniya 6 years, 8 months ago
- 5 answers
Rajeev Pandit 6 years, 8 months ago
Siddhant Bhatt 6 years, 8 months ago
Ɽøⱨł₮ ₲Ʉ₱₮₳ 6 years, 8 months ago
Priya Dharshini 6 years, 8 months ago
Posted by Raj Kumari Devi 6 years, 8 months ago
- 2 answers
Řøhăň Řąjpůť ✌️✊ 6 years, 8 months ago
Priya Dharshini 6 years, 8 months ago
Posted by Sohan .G 6 years, 8 months ago
- 1 answers
Sia ? 6 years, 8 months ago
Propene to propan-2-
{tex}C{H_3}\mathop { - CH = }\limits_{{\text{Propan}}} C{H_2} + {H_2}O\xrightarrow{{{H_2}S{O_4}}}\mathop {C{H_3} - \mathop {\mathop {CH}\limits_| }\limits_{OH} - C{H_3}}\limits_{{\text{Propan}} - 2 - ol} {/tex}
Posted by Anuradha Saha 6 years, 8 months ago
- 0 answers
Posted by Nikita Sharma 6 years, 8 months ago
- 1 answers
Posted by Sharan Jit 6 years, 8 months ago
- 0 answers
Posted by Deep M 6 years, 8 months ago
- 1 answers
Malavika Roy 5 years, 8 months ago
Posted by Shyamalima Borthakur 6 years, 8 months ago
- 0 answers
Posted by Suman Bagoria 6 years, 8 months ago
- 0 answers
Posted by Siya Jain 6 years, 8 months ago
- 2 answers
Sia ? 6 years, 8 months ago
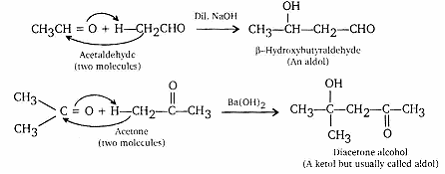
Aldehydes and Ketones having at least one alpha-hydrogen undergo a reaction in the presence of dilute alkali as catalysts to form Beta-hydroxy aldehydes (aldol) or Beta-hydroxy ketones (ketol), respectively. This is known as Aldol Condensation reaction. Example is shown below:

Posted by K@Łp@N@ $Øđh!?? 6 years, 8 months ago
- 2 answers
Sia ? 6 years, 8 months ago
Physical adsorption (physisorption)
Chemical adsorption (chemisorption)
Posted by K@Łp@N@ $Øđh!?? 6 years, 8 months ago
- 0 answers
Posted by Narender Pal Chaudhary 6 years, 8 months ago
- 0 answers
Posted by Mukesh Das 6 years, 8 months ago
- 1 answers
Sia ? 6 years, 8 months ago
- It is a device to convert chemical energy into electrical energy.
- It is based upon the redox reaction which is spontaneous.
- To set up this cell, a salt bridge or porous pot is used.
Posted by Inder Deep 6 years, 8 months ago
- 3 answers
K@Łp@N@ $Øđh!?? 6 years, 8 months ago
Veena Singh☺️? 6 years, 8 months ago
Posted by Divyanshu Sinha 6 years, 8 months ago
- 2 answers
Sia ? 6 years, 8 months ago
Sulfuric acid, also known as vitriol, is a mineral acid composed of the elements sulfur, oxygen and hydrogen, with molecular formula H₂SO₄.
Sia ? 6 years, 8 months ago
Sulfuric acid, also known as vitriol, is a mineral acid composed of the elements sulfur, oxygen and hydrogen, with molecular formula H₂SO₄.
Posted by Ch..Rahul.. Dhama 6 years, 8 months ago
- 1 answers
Ch..Rahul.. Dhama 6 years, 8 months ago
Posted by Suman Bagoria 6 years, 8 months ago
- 0 answers
Posted by Archana Shelke 6 years, 8 months ago
- 1 answers
Sia ? 6 years, 8 months ago
Applying the relationship
{tex}\style{font-family:'Times New Roman'}{m\;=K_H\;p\;}{/tex}
In the first case, {tex}\style{font-family:'Times New Roman'}{6.56\;\times\;10^{-2}g\;=\;K_H\;\times\;1\;bar}{/tex}
{tex}\style{font-family:'Times New Roman'}{\;K_H\;=6.56\;\times\;10^{-2}g\;/bar}{/tex}
In second case, {tex}\style{font-family:'Times New Roman'}{\;5.00\;\times\;10^{-2}g\;=6.56\;\times\;10^{-2}g/bar\;\times\;p}{/tex}
{tex}P = \frac{{5.00 \times {{10}^{ - 2}}g}}{{6.56 \times {{10}^{ - 2}}g\,ba{r^{ - 1}}}}{/tex} = 0.7621 bar
Posted by Mithlesh Prajapati 6 years, 8 months ago
- 4 answers
Priya Dharshini 6 years, 8 months ago
Madhavi Singh 6 years, 8 months ago
Posted by Aditya Dwivedi 6 years, 8 months ago
- 3 answers
Rajat Barwar 6 years, 8 months ago
Manshi Rana 6 years, 8 months ago
Posted by Sagar Deswal 6 years, 8 months ago
- 0 answers
Posted by Himanshu Singh 6 years, 8 months ago
- 1 answers
Posted by Fashion Girl 6 years, 8 months ago
- 2 answers
Posted by Gurmeet Singh 6 years, 8 months ago
- 0 answers
Posted by Ananya Gupta 6 years, 8 months ago
- 1 answers
Ananya Gupta 6 years, 8 months ago
Posted by Sunder Shyam 6 years, 8 months ago
- 2 answers
Posted by Ankita Sahu 6 years, 8 months ago
- 9 answers
Srishti Choudhary ✍⏳ 6 years, 8 months ago
Ďãřşháñăã Yadav ? ? ? 6 years, 8 months ago

myCBSEguide
Trusted by 1 Crore+ Students

Test Generator
Create papers online. It's FREE.

CUET Mock Tests
75,000+ questions to practice only on myCBSEguide app
myCBSEguide