Ask questions which are clear, concise and easy to understand.
Ask QuestionPosted by The Patel 6 years, 8 months ago
- 0 answers
Posted by Mahima Pandit 6 years, 4 months ago
- 1 answers
Sia ? 6 years, 4 months ago
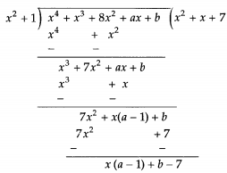
If {tex}x^4+x^3+8x^2+ax +b{/tex} is exactly divisible by x2 + 1, the remainder after division should be zero.
Now let us perform long division

We get, remainder = x (a - 1) + (b - 7)
x (a - 1) + (b - 7 ) = 0
{tex}\Rightarrow{/tex} x (a - 1) + (b - 7) = 0x + 0
{tex}\Rightarrow{/tex} a - 1 = 0 and b - 7 = 0 [On equating the coefficients of like powers of x]
{tex}\Rightarrow{/tex}a = 1 and b = 7
Posted by Subhash Chandra Sneh Lata 6 years, 4 months ago
- 1 answers
Sia ? 6 years, 4 months ago
We can prove {tex}7 \sqrt { 5 }{/tex} irrational by contradiction.
Let us suppose that {tex}7 \sqrt { 5 }{/tex} is rational.
It means we have some co-prime integers a and b (b≠ 0)
such that
{tex}7 \sqrt { 5 } = \frac { a } { b }{/tex}
{tex}\Rightarrow \sqrt { 5 } = \frac { a } { 7 b }{/tex} .......(1)
R.H.S of (1) is rational but we know that {tex}\sqrt { 5 }{/tex} is irrational.
It is not possible which means our supposition is wrong.
Therefore, {tex}7 \sqrt { 5 }{/tex} cannot be rational.
Hence, it is irrational.
Posted by Meena Devi 6 years, 4 months ago
- 1 answers
Sia ? 6 years, 4 months ago
Given polynomial is p(x) = 2x3 - x2- 5x - 2
and -1 and 2 are zeroes of polynomial.
{tex}\therefore{/tex} {x - (-1)} (x - 2)= ( x + 1) (x - 2) = x2 - 2x + x - 2 = x2- x - 2 is a factor of p(x)

For other zeroes, 2x + 1 = 0
{tex}\Rightarrow x = \frac { - 1 } { 2 }{/tex}
{tex}\therefore{/tex} Other zero = {tex}\frac { - 1 } { 2 }{/tex}
Posted by Manish Kumat 6 years, 8 months ago
- 0 answers
Posted by Anjali ?? 6 years, 8 months ago
- 5 answers
The Patel 6 years, 8 months ago
Posted by Raj Kumar 6 years, 8 months ago
- 0 answers
Posted by Yogita Malik 6 years, 4 months ago
- 1 answers
Sia ? 6 years, 4 months ago
You can check NCERT Solutions here : https://mycbseguide.com/ncert-solutions.html
Posted by Radha Goyal 6 years, 8 months ago
- 0 answers
Posted by Abul Fazal X Factor 6 years, 8 months ago
- 0 answers
Posted by Amit Patle 6 years, 8 months ago
- 1 answers
Yogita Ingle 6 years, 8 months ago
A natural number which has exactly two factors, i.e. 1 and the number itself, is a prime number. For example: 2, 3, 5, 7, 11, 19, 37, 41, 313, 241 etc.
Every non-prime number is a composite number. Composite numbers are those natural numbers which have more than two factors. Such numbers are divisible by other numbers as well. For example: 4, 6, 8, 10, 12, 14, 500, 6000 etc.
Numbers, which do not have any common factor between them other than one, are called co-prime numbers. For example 16 and 25 do not have any common factor other than one. Similarly 84 and 65 do not have any common factor and are hence co-prime.
All rational and all irrational number makes the collection of real numbers. It is denoted by the letter R . For example: 1, -2/3, 3/4, √2, √2 + 5
Posted by Bijoy Seal 6 years, 8 months ago
- 1 answers
Posted by Adithyan V.S 6 years, 8 months ago
- 0 answers
Posted by Mahendar Singh 6 years, 8 months ago
- 1 answers
Yogita Ingle 6 years, 8 months ago
let us take, 'x'= 3q , 3q+1, 3q+2
when, x=3q
x2 = (3q) 2
x2 = 9q2
x2 = 3(3q2)
we see that 3q2= m
so we have done the first equation 3m
when , x=3q+1
x2= (3q+1)2 [since, (a+b)2 = a2+2ab+b2]
x2= 9q2+6q+1
x2= 3(3q+2q)+1
in this we see that 3q+2q= m
therefore, this satisfy the equation m+1
Posted by Ankit Kumar 6 years, 8 months ago
- 3 answers
Posted by S Devil 6 years, 8 months ago
- 1 answers
Raj Kumar Raj 6 years, 8 months ago
Posted by Rahul 0941D 6 years, 4 months ago
- 1 answers
Sia ? 6 years, 4 months ago
Since x and y are odd positive integers, Then it should be in the form of 2x+1 (where x is a positive integer)
Let x = 2m + 1 and y = 2n + 1 ( where m and n positive integers)
Now x2 + y2
= (2m + 1)2 + (2n + 1)2
= 4m2 + 4m + 1 + 4n2 + 4n + 1
= 4(m2 + n2 + m + n) + 2 ....... (1)
from (1) we get
x2 + y2 = 2 {m2 + n2 + m + n) + 1} = 2t (t = 2(m2 + n2 + m + n) + 1 is a positive integer
Therefore it is clear that {tex}x^2+y^2{/tex} is an even number but not divisible by 4.
Posted by Rahul 0941D 6 years, 8 months ago
- 1 answers
Posted by Yash Khalse 2 years, 8 months ago
- 1 answers
Sia ? 6 years, 4 months ago
On applying the Euclid’s division lemma to find HCF of 152, 272, we get

{tex}272 = 152\times1 + 120{/tex}
Here the remainder = 0.
Using Euclid’s division lemma to find the HCF of 152 and 120, we get
{tex}152 = 120\times1 + 32{/tex}
Again the remainder = 0.
Using division lemma to find the HCF of 120 and 32, we get

{tex}120 = 32\times3 + 24{/tex}
Similarly,

{tex}32 = 24\times1 + 8{/tex}
{tex}24 = 8\times3 + 0{/tex}
HCF of 272 and 152 is 8.
272{tex}\times{/tex}8 + 152x = H.C.F. of the numbers
{tex}\Rightarrow {/tex} {tex}8 = 272\times8 + 152x{/tex}
{tex}\Rightarrow{/tex} {tex}8 - 272\times8 = 152x{/tex}
{tex}\Rightarrow 8(1- 272) = 152x{/tex}
{tex}\Rightarrow x = \frac { - 2168 } { 152 } = \frac { - 271 } { 19 }{/tex}
Posted by Rakesh Maheshwari 6 years, 8 months ago
- 0 answers
Posted by Anuja Pandey 6 years, 8 months ago
- 0 answers
Posted by Adarsh Raj 6 years, 8 months ago
- 1 answers
Rocky Trickster 4 years, 9 months ago
Posted by Harsh Jha 6 years, 8 months ago
- 1 answers
Anuja Pandey 6 years, 8 months ago
Posted by Pooja Talwekar 6 years, 8 months ago
- 1 answers
Posted by Navee .... 6 years, 8 months ago
- 0 answers
Posted by Asha Joshi 6 years, 8 months ago
- 1 answers
Asha Joshi 6 years, 8 months ago
Posted by Sagar Singh 6 years, 8 months ago
- 4 answers

myCBSEguide
Trusted by 1 Crore+ Students

Test Generator
Create papers online. It's FREE.

CUET Mock Tests
75,000+ questions to practice only on myCBSEguide app
myCBSEguide
