Ask questions which are clear, concise and easy to understand.
Ask QuestionPosted by Aayush Gupta 5 years, 1 month ago
- 2 answers
Yogita Ingle 5 years, 1 month ago
We have to find the values of k for quadratic equations 2x² + kx + 3 = 0 so that they have two equal roots.
we know, quadratic equation will be equal only when
discriminant, D = b² - 4ac = 0
on comparing 2x² + kx + 3 = 0 with general form of quadratic equation , ax² + bx + c = 0 we get, a = 2, b = k and c = 3
so Discriminant , D = (k)² - 4(2)(3) = 0
or, k² - 24 = 0
or, k = ± √24 = ±2√6
hence, the value of k = 2√6 or -2√6
Posted by Saurabh Rawat Singh Rawat 5 years, 1 month ago
- 0 answers
Posted by Suhas M 5 years, 1 month ago
- 1 answers
........ ...... 5 years, 1 month ago
Posted by Kartik Yadav 5 years, 1 month ago
- 5 answers
Posted by Vishal Kumar Kurrey Maths Xi A 5 years, 1 month ago
- 5 answers
☆•..¤( Prateek )¤..•☆ 5 years, 1 month ago
Posted by Nishant Bhardwaj 5 years, 1 month ago
- 3 answers
Posted by Shalvi Rajpura 5 years, 1 month ago
- 0 answers
Posted by Shardul Rai 5 years, 1 month ago
- 1 answers
Gaurav Seth 3 years, 7 months ago
Given : x is a rational number whose decimal expansion terminates . p&q are two integers in which prime Factorisation of q is of the form 2^m5^n where p&q are co-prime & non negative integer
To Find : How x can be expressed
Solution :
• Consider the theorm ,
Let x be a rational number whose decimal expansion terminates.
Then x can be expressed in the form of p/q , where p and q are coprime and the prime factorisation of q is of the form 2^n5^m
, where n, m are non-negative integers.
•According to theorm
X can be expressed in the form of p/q
•Hence , X can be expressed in the form of p/q
Posted by Arpit Gandhi 5 years, 1 month ago
- 1 answers
Gaurav Seth 5 years ago
sin theta=p/h=4/5 so we should find b from this equation
b=✓h²-p²
✓5²-4²
✓25-16
✓9=3
4tan theta - 5 cos theta by sec theta + 4 cot theta
4×p/b - 5×b/h divide by h/b + 4×b/p
4×4/3 - 5×3/5 divide by 5/3 + 4×3/4
16/3-3 by 5/3+ 3
7/3 by 14/3
3_3cancel
7/14=1/2
Posted by Devika Joshi 5 years, 1 month ago
- 5 answers
Shubham Saxena ???? 5 years, 1 month ago
Posted by Aryan Sharma 5 years, 1 month ago
- 5 answers
Posted by Suresh Bhai 5 years, 1 month ago
- 1 answers
Posted by Suresh Bhai 5 years, 1 month ago
- 0 answers
Posted by Soorya V 5 years, 1 month ago
- 0 answers
Posted by Aditya Rajawat 5 years, 1 month ago
- 0 answers
Posted by Aditya Kumar Rajput 5 years, 1 month ago
- 1 answers
Posted by Tanu Man 5 years, 1 month ago
- 5 answers
Sharma G 5 years, 1 month ago
Posted by Nikhil Joshi 5 years, 1 month ago
- 2 answers
Manpreet Yadav 5 years, 1 month ago
Utsav Kumar 5 years, 1 month ago
Posted by Dharani Vinayak 5 years, 1 month ago
- 3 answers
Parth Gupta 5 years, 1 month ago
Gaurav Seth 5 years, 1 month ago
Answer:the roots are not real
Step-by-step explanation:
comparing the equation in ax^2+bx+c=0
a=2
b=-5
c=7
Delta =b^2-4ac
=25-4 x 2 x 7
=25-56
= -31
It describes that the roots are imaginary or do not exist .
Gaurav Seth 5 years, 1 month ago
Answer:the roots are real and equal
Step-by-step explanation:
comparing the equation in ax^2+bx+c=0
a=2
b=-5
c=7
Delta =b^2-4ac
=25-4 x 2 x 7
=25-56
= -31
It describes that the roots are imaginary or do not exist .
Posted by Dharani Vinayak 5 years, 1 month ago
- 3 answers
Posted by Dharani Vinayak 5 years, 1 month ago
- 1 answers
Gaurav Seth 5 years, 1 month ago
ANSWER
Empirical relationship between mean, median and mode is:
Mode = 3 Median - 2 Mean
⇒ Mode - Mean = 3 Median - 2 Mean - Mean
⇒ Mode - Mean = 3 Median - 3 Mean
⇒ Mode - Mean = 3 [Median - Mean]
Posted by Joy Timothy 5 years, 1 month ago
- 2 answers
Ansh Tyagi 5 years, 1 month ago
Gaurav Seth 5 years, 1 month ago
Q u e s t i o n :After how many palces will the rational number 1251/125 terminate
A n s w e r :
1251 / 1250 = 1.0008
After 4 decimal places the rational number end.
Posted by Dharani Vinayak 5 years, 1 month ago
- 3 answers
Priyanshu ?✌??? 5 years, 1 month ago
Posted by Vaishnavi S 5 years, 1 month ago
- 1 answers
Gaurav Seth 5 years, 1 month ago
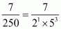
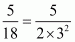
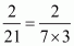
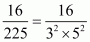
<font face="Times New Roman, serif"><font style="box-sizing: border-box;"><font size="3"><font style="box-sizing: border-box;">(i) We have,</font></font></font></font>
<font color="#808080"><font style="box-sizing: border-box;">
</font></font>
<font face="Times New Roman, serif"><font style="box-sizing: border-box;"><font size="3"><font style="box-sizing: border-box;">Theorem states: </font></font></font></font>
<font face="Times New Roman, serif"><font style="box-sizing: border-box;"><font size="3"><font style="box-sizing: border-box;">Let </font></font></font></font>
<font face="Times New Roman, serif"><font style="box-sizing: border-box;"><font size="3"><font style="box-sizing: border-box;">be a rational number, such that the prime factorization of q is not of the form
</font></font>, where <font size="3"><font style="box-sizing: border-box;">m and n are non-negative integers.</font></font></font></font>
<font face="Times New Roman, serif"><font style="box-sizing: border-box;"><font size="3"><font style="box-sizing: border-box;">Then, x has a decimal expression which does not have terminating decimal.</font></font></font></font>
<font face="Times New Roman, serif"><font style="box-sizing: border-box;"><font size="3"><font style="box-sizing: border-box;">(ii) We have,</font></font></font></font>
<font color="#808080"><font style="box-sizing: border-box;">
</font></font>
<font face="Times New Roman, serif"><font style="box-sizing: border-box;"><font size="3"><font style="box-sizing: border-box;">Theorem states: </font></font></font></font>
<font face="Times New Roman, serif"><font style="box-sizing: border-box;"><font size="3"><font style="box-sizing: border-box;">Let </font></font></font></font>
<font face="Times New Roman, serif"><font style="box-sizing: border-box;"><font size="3"><font style="box-sizing: border-box;">be a rational number, such that the prime factorization of q is not of the form
</font></font>, where <font size="3"><font style="box-sizing: border-box;">m and n are non-negative integers.</font></font></font></font>
<font face="Times New Roman, serif"><font style="box-sizing: border-box;"><font size="3"><font style="box-sizing: border-box;">Then, x has a decimal expression which does not have terminating decimal.</font></font></font></font>
<font face="Times New Roman, serif"><font style="box-sizing: border-box;"><font size="3"><font style="box-sizing: border-box;">(iii) We have,</font></font></font></font>
<font color="#808080"><font style="box-sizing: border-box;">
</font></font>
<font face="Times New Roman, serif"><font style="box-sizing: border-box;"><font size="3"><font style="box-sizing: border-box;">Theorem states: </font></font></font></font>
<font face="Times New Roman, serif"><font style="box-sizing: border-box;"><font size="3"><font style="box-sizing: border-box;">Let </font></font></font></font>
<font face="Times New Roman, serif"><font style="box-sizing: border-box;"><font size="3"><font style="box-sizing: border-box;">be a rational number, such that the prime factorization of q is not of the form
</font></font>, where <font size="3"><font style="box-sizing: border-box;">m and n are non-negative integers.</font></font></font></font>
<font face="Times New Roman, serif"><font style="box-sizing: border-box;"><font size="3"><font style="box-sizing: border-box;">Then, x has a decimal expression which does not have terminating decimal.</font></font></font></font>
<font face="Times New Roman, serif"><font style="box-sizing: border-box;"><font size="3"><font style="box-sizing: border-box;">(iv) We have,</font></font></font></font>
<font color="#808080"><font style="box-sizing: border-box;">
</font></font>
<font face="Times New Roman, serif"><font style="box-sizing: border-box;"><font size="3"><font style="box-sizing: border-box;">Theorem states: </font></font></font></font>
<font face="Times New Roman, serif"><font style="box-sizing: border-box;"><font size="3"><font style="box-sizing: border-box;">Let </font></font></font></font>
<font face="Times New Roman, serif"><font style="box-sizing: border-box;"><font size="3"><font style="box-sizing: border-box;">be a rational number, such that the prime factorization of q is of the form
</font></font>, where <font size="3"><font style="box-sizing: border-box;">m and n are non-negative integers.</font></font></font></font>
<font face="Times New Roman, serif"><font style="box-sizing: border-box;"><font size="3"><font style="box-sizing: border-box;">Then, x has a decimal expression which terminates after k places of decimals, where k is the larger of m and n.</font></font></font></font>
<font face="Times New Roman, serif"><font style="box-sizing: border-box;"><font size="3"><font style="box-sizing: border-box;">Then, x has a decimal expression which will have terminating decimal after 3 places of decimal.</font></font></font></font>
Posted by Vishal Hanumanth 5 years, 1 month ago
- 1 answers
Posted by Dharani Vinayak 5 years, 1 month ago
- 1 answers
........ ...... 5 years, 1 month ago

myCBSEguide
Trusted by 1 Crore+ Students

Test Generator
Create papers online. It's FREE.

CUET Mock Tests
75,000+ questions to practice only on myCBSEguide app
myCBSEguide
........ ...... 5 years, 1 month ago
0Thank You